Präferenzen und Indifferenzkurven: Unterschied zwischen den Versionen

Aus Mikroökonomie 1
Zur Navigation springen Zur Suche springen
Zeile 33: Zeile 33:
  
 
==Indifferenzkurven der Güterarten==
 
==Indifferenzkurven der Güterarten==
Jenachdem wie die Präferenzen aussehen verändern sich die Indifferenzkurven voneinander. Häufig wird zwischen folgenden Güterarten und ihren Indifferenzkurven unterschieden: <br>
+
Die Indifferenzkurven der verschiedenen Güterarten unterscheiden sich je nach Präferenzen. Häufig wird zwischen den folgenden Güterarten und ihren Indifferenzkurven unterschieden:
<br>
+
 
 
'''Perfekte Substitute''' <br>
 
'''Perfekte Substitute''' <br>
Die Nutzenfunktion von [[Perfekten Substituten]] kann zum Beispiel wie folgt aussehen: <math display="inline"> U(x_{1},x_{2})=ax_{1}+bx_{2} </math>, wobei a und b beliebige Konstanten sind. Grafisch schneiden die Indifferenzkurven die Achsen und sind nicht zwingend linear. <br>
+
Die Nutzenfunktion von [[Perfekten Substituten]] kann zum Beispiel wie folgt aussehen: <math display="inline"> U(x_{1},x_{2})=ax_{1}+bx_{2} </math>, wobei a und b beliebige Konstanten sind. Indifferenzkurven von Perfekten Substituten weisen als EIgenschaft auf, dass sie die Achsen berühren und einen linearen Verlauf haben. <br>
 
[[Datei:Perfekte Substitute.png|350px|rahmenlos]] <br>
 
[[Datei:Perfekte Substitute.png|350px|rahmenlos]] <br>
 
<br clear=all>
 
<br clear=all>

Version vom 20. Juni 2023, 13:02 Uhr

Individuen zeigen in ihrem Konsumverhalten Präferenzen. Diese Präferenzen spiegeln sich in ihrem Nutzenniveau wieder, das sich bei einer gleichen Güterkombination und unterschiedlichen Konsumentenpräferenzen unterscheiden kann.

Präferenzen und Nutzenfunktion

Eine jede Marktteilnehmerin und ein jeder Marktteilnehmer verfügen über Präferenzen. Ein Mensch der Vegetarier ist, kauft zum Beispiel kein Fleisch. Für ein Filmabend gibt es Menschen, die lediglich salzige Snacks konsumieren, oder auch welche, für die nur süße Snacks in Frage kommen. Es gibt jedoch auch sicherlich Menschen, denen es egal ist welche Art der Snacks zu sich nehmen.
Um all diese Präferenzen abbilden zu können werden Nutzenfunktionen modelliert. Hierfür wird sich der Ordinalen Nutzentheorie und nicht der kardinalen Nutzentheorie bedient. Je nach Präferenzen sehen die Nutzenfunktionen unterschiedlich aus. In jedem Fall sind sie jedoch abhängig von jedem zu betrachteten Gut und der Anzahl der davon konsumierten Einheiten Fehler beim Parsen (MathML mit SVG- oder PNG-Rückgriff (empfohlen für moderne Browser und Barrierefreiheitswerkzeuge): Ungültige Antwort („Math extension cannot connect to Restbase.“) von Server „https://wikimedia.org/api/rest_v1/“:): {\textstyle U(x_{1}, x_{2}, x_{3}, ..., x_{n}) } . Der Einfachheit halber, und um die Nutzenfunktion grafisch darstellen zu können, beschränken wir uns auf den zwei-Güter-Fall. Fehler beim Parsen (MathML mit SVG- oder PNG-Rückgriff (empfohlen für moderne Browser und Barrierefreiheitswerkzeuge): Ungültige Antwort („Math extension cannot connect to Restbase.“) von Server „https://wikimedia.org/api/rest_v1/“:): {\textstyle U(x_{1}, x_{2}) } . Als Beipsiel sollen uns die beiden Güter C und F dienen, die mit folgender Nutzenfunktion abgebildet werden sollen:
Fehler beim Parsen (MathML mit SVG- oder PNG-Rückgriff (empfohlen für moderne Browser und Barrierefreiheitswerkzeuge): Ungültige Antwort („Math extension cannot connect to Restbase.“) von Server „https://wikimedia.org/api/rest_v1/“:): {\textstyle U(F,C)=F^{1/3}*C^{2/3} }
Die Nutzenfunktion kann als normale bivariate Funktion gelesen werden. Anders als im univariaten Fall ist die Funktion von zwei Variablen abhängig.
Nutzenfunktion.jpg

Indifferenzkurven

Eine veränderte Möglichkeit der Darstellung von Nutzenfunktionen sind Indifferenzkurven. Wie der Name schon sagt sind Konsumenten entlang dieser Kurve indifferent in der Konsumentscheidung. Sie erfahren also aus den Güterkombinationen die auf der Indifferenzkurve liegen einen konstant gleich großen Nutzen. Je nach Nutzenniveau liegen die Indifferenzkurven verschoben. Im Beispiel von oben sehen die Indiffernzkurven wie folgt aus:
Nutzenfunktion2.jpg

Was in der Grafik oben zu sehen ist sind verschiedene Farbverläufe, die an verschobene konvexe Funktionen erinnern. Mathematisch erlangt man die Indifferenzkurven, in dem der Nutzen U konstant gehalten (Fehler beim Parsen (MathML mit SVG- oder PNG-Rückgriff (empfohlen für moderne Browser und Barrierefreiheitswerkzeuge): Ungültige Antwort („Math extension cannot connect to Restbase.“) von Server „https://wikimedia.org/api/rest_v1/“:): {\displaystyle \bar{U} } ) und nach einer Variablen umgestellt wird. In der Nutzenfunktion von eben sieht das wie folgt aus:
Fehler beim Parsen (MathML mit SVG- oder PNG-Rückgriff (empfohlen für moderne Browser und Barrierefreiheitswerkzeuge): Ungültige Antwort („Math extension cannot connect to Restbase.“) von Server „https://wikimedia.org/api/rest_v1/“:): {\textstyle \bar{U}=F^{1/3}*C^{2/3} } |: Fehler beim Parsen (MathML mit SVG- oder PNG-Rückgriff (empfohlen für moderne Browser und Barrierefreiheitswerkzeuge): Ungültige Antwort („Math extension cannot connect to Restbase.“) von Server „https://wikimedia.org/api/rest_v1/“:): {\textstyle F^{1/3} }
Fehler beim Parsen (MathML mit SVG- oder PNG-Rückgriff (empfohlen für moderne Browser und Barrierefreiheitswerkzeuge): Ungültige Antwort („Math extension cannot connect to Restbase.“) von Server „https://wikimedia.org/api/rest_v1/“:): {\textstyle \frac{\bar{U}}{F^{1/3}}=C^{2/3} } |Fehler beim Parsen (MathML mit SVG- oder PNG-Rückgriff (empfohlen für moderne Browser und Barrierefreiheitswerkzeuge): Ungültige Antwort („Math extension cannot connect to Restbase.“) von Server „https://wikimedia.org/api/rest_v1/“:): {\displaystyle (...)^{3/2} }
Fehler beim Parsen (MathML mit SVG- oder PNG-Rückgriff (empfohlen für moderne Browser und Barrierefreiheitswerkzeuge): Ungültige Antwort („Math extension cannot connect to Restbase.“) von Server „https://wikimedia.org/api/rest_v1/“:): {\textstyle C=(\frac{\bar{U}}{F^{1/3}})^{3/2} }
Fehler beim Parsen (MathML mit SVG- oder PNG-Rückgriff (empfohlen für moderne Browser und Barrierefreiheitswerkzeuge): Ungültige Antwort („Math extension cannot connect to Restbase.“) von Server „https://wikimedia.org/api/rest_v1/“:): {\textstyle C=\frac{\bar{U}^{3/2}}{F^{1/2}} }


Je nach Nutzenniveau bekommen wir für jeden F Wert einen anderen C Wert ausgegeben.

Die Steigung der Indifferenzkurve bzw. Grenzrate der Substitution

Entlang einer konvexen Indifferenzkurve verändert sich die Steigung der Indifferenzkurve. Nehmen wir für den weiteren Verlauf folgende Indifferenzkurven als Beispiel:
GRS.png

Bei einem geringen Fehler beim Parsen (MathML mit SVG- oder PNG-Rückgriff (empfohlen für moderne Browser und Barrierefreiheitswerkzeuge): Ungültige Antwort („Math extension cannot connect to Restbase.“) von Server „https://wikimedia.org/api/rest_v1/“:): {\displaystyle x_{1} } Wert ist der Wert hoch, wir befinden uns nahe der Fehler beim Parsen (MathML mit SVG- oder PNG-Rückgriff (empfohlen für moderne Browser und Barrierefreiheitswerkzeuge): Ungültige Antwort („Math extension cannot connect to Restbase.“) von Server „https://wikimedia.org/api/rest_v1/“:): {\displaystyle x_{2} } Achse. Hier ist die Funktion stark fallend (betragsmäßig sehr steil). Je größer der Fehler beim Parsen (MathML mit SVG- oder PNG-Rückgriff (empfohlen für moderne Browser und Barrierefreiheitswerkzeuge): Ungültige Antwort („Math extension cannot connect to Restbase.“) von Server „https://wikimedia.org/api/rest_v1/“:): {\displaystyle x_{1} } Wert wird, desto weniger stark fällt die Funktion. Die Steigung der Indifferenzkurve nimmt betragsmäßig also ab.
Um die Steigung interpretieren zu könne muss die Bedeutung der Indifferenzkurve herangezogen werden. Entlang der Indifferenzkurve ist der Nutzen konstant. In dem marginal zu betrachtenen Punkt ist ein Konsument bereit die Güter im Verhältnis der Steigung auszutauschen, da er so seinen Nutzen behält. Ist die Steigung beispielsweise -2, so ist er bereit eine marginale Einheit von x_{1} für zwei Einheiten von x_{2} zu tauschen. Je nach Position auf der Indifferenzkurve verändert sich auch das Verhältnis, das der Konsument verlangt. Die Steigung der Indifferenzkurve entspricht also dem Verhältnis, zu dem ein Konsument bereit ist die Güter zu tasuchen (Austuaschverhältnis). Dies wird auch Grenzrate der Substitution (GRS), beziehungsweise Marginal Rate of Substitution (MRS) genannt.
Mathematisch können wir bei der Bestimmung des Haushaltsoptimums sehen, dass die GRS gleich dem Grenznutzenverhältnis der beiden Gütern entspricht.
Fehler beim Parsen (MathML mit SVG- oder PNG-Rückgriff (empfohlen für moderne Browser und Barrierefreiheitswerkzeuge): Ungültige Antwort („Math extension cannot connect to Restbase.“) von Server „https://wikimedia.org/api/rest_v1/“:): {\displaystyle GRS_{x_{1},x_{2}}=\frac{\frac{\partial U}{\partial x_{1}}}{\frac{\partial U}{\partial x_{2}}} }

Indifferenzkurven der Güterarten

Die Indifferenzkurven der verschiedenen Güterarten unterscheiden sich je nach Präferenzen. Häufig wird zwischen den folgenden Güterarten und ihren Indifferenzkurven unterschieden:

Perfekte Substitute
Die Nutzenfunktion von Perfekten Substituten kann zum Beispiel wie folgt aussehen: Fehler beim Parsen (MathML mit SVG- oder PNG-Rückgriff (empfohlen für moderne Browser und Barrierefreiheitswerkzeuge): Ungültige Antwort („Math extension cannot connect to Restbase.“) von Server „https://wikimedia.org/api/rest_v1/“:): {\textstyle U(x_{1},x_{2})=ax_{1}+bx_{2} } , wobei a und b beliebige Konstanten sind. Indifferenzkurven von Perfekten Substituten weisen als EIgenschaft auf, dass sie die Achsen berühren und einen linearen Verlauf haben.
Perfekte Substitute.png

In der Abbildung gilt Fehler beim Parsen (MathML mit SVG- oder PNG-Rückgriff (empfohlen für moderne Browser und Barrierefreiheitswerkzeuge): Ungültige Antwort („Math extension cannot connect to Restbase.“) von Server „https://wikimedia.org/api/rest_v1/“:): {\displaystyle U_{3} > U_{2} > U_{1} }

Perfekte Komplemente
Die Nutzenfunktion von Perfekten Komplementen kann zum Beispiel wie folgt aussehen: Fehler beim Parsen (MathML mit SVG- oder PNG-Rückgriff (empfohlen für moderne Browser und Barrierefreiheitswerkzeuge): Ungültige Antwort („Math extension cannot connect to Restbase.“) von Server „https://wikimedia.org/api/rest_v1/“:): {\textstyle U(x_{1},x_{2})=Min\{ax_{1},bx_{2}\} } , wobei a und b beliebige Konstanten sind. Grafisch sind die Indifferenzkurven in L Form, es wird auch häufig von Leontief Präferenzen gesprochen.
Perfekte Komplemente.png

In der Abbildung gilt Fehler beim Parsen (MathML mit SVG- oder PNG-Rückgriff (empfohlen für moderne Browser und Barrierefreiheitswerkzeuge): Ungültige Antwort („Math extension cannot connect to Restbase.“) von Server „https://wikimedia.org/api/rest_v1/“:): {\displaystyle U_{3} > U_{2} > U_{1} }

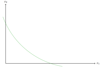
Imperfekte Subtitute
Die Nutzenfunktion von Imperfekte Substitute kann zum Beispiel wie folgt aussehen: Fehler beim Parsen (MathML mit SVG- oder PNG-Rückgriff (empfohlen für moderne Browser und Barrierefreiheitswerkzeuge): Ungültige Antwort („Math extension cannot connect to Restbase.“) von Server „https://wikimedia.org/api/rest_v1/“:): {\textstyle U(x_{1},x_{2})=x_{1}^{a}*x_{2}^{b} } , wobei a und b beliebige Konstanten sind.
Unvollkommene Substitute.png

In der Abbildung gilt Fehler beim Parsen (MathML mit SVG- oder PNG-Rückgriff (empfohlen für moderne Browser und Barrierefreiheitswerkzeuge): Ungültige Antwort („Math extension cannot connect to Restbase.“) von Server „https://wikimedia.org/api/rest_v1/“:): {\displaystyle U_{3} > U_{2} > U_{1} }

MC Fragen

Wie könnte eine Nutzenfunktion aussehen, bei der ein Kosument immer 3 Packungen Gummibärchen (G) mit einer Packung Chips (C) konsumiert?

Fehler beim Parsen (MathML mit SVG- oder PNG-Rückgriff (empfohlen für moderne Browser und Barrierefreiheitswerkzeuge): Ungültige Antwort („Math extension cannot connect to Restbase.“) von Server „https://wikimedia.org/api/rest_v1/“:): {\displaystyle U(G,C)=Min\{\frac{1}{3}G,C\} } .
Fehler beim Parsen (MathML mit SVG- oder PNG-Rückgriff (empfohlen für moderne Browser und Barrierefreiheitswerkzeuge): Ungültige Antwort („Math extension cannot connect to Restbase.“) von Server „https://wikimedia.org/api/rest_v1/“:): {\displaystyle U(G,C)=Min\{G,\frac{1}{3}C\} } .
Fehler beim Parsen (MathML mit SVG- oder PNG-Rückgriff (empfohlen für moderne Browser und Barrierefreiheitswerkzeuge): Ungültige Antwort („Math extension cannot connect to Restbase.“) von Server „https://wikimedia.org/api/rest_v1/“:): {\displaystyle U(G,C)=3G+C } .
Fehler beim Parsen (MathML mit SVG- oder PNG-Rückgriff (empfohlen für moderne Browser und Barrierefreiheitswerkzeuge): Ungültige Antwort („Math extension cannot connect to Restbase.“) von Server „https://wikimedia.org/api/rest_v1/“:): {\displaystyle U(G,C)=G*3C } .


Angenommen ein Kosnument hat folgende Nutzenfunktion Fehler beim Parsen (MathML mit SVG- oder PNG-Rückgriff (empfohlen für moderne Browser und Barrierefreiheitswerkzeuge): Ungültige Antwort („Math extension cannot connect to Restbase.“) von Server „https://wikimedia.org/api/rest_v1/“:): {\displaystyle U(x,y)=x^{2}+2y } . Welche der folgenden Konsumbündel liegt nicht auf der selben Indifferenzkurve wie die restlichen?

(x, y)=(0, 12).
(x, y)=(4.75, 0.71875).
(x, y)=(3, 7.5).
(x, y)=(4, 8).
(x, y)=(2, 10).


Welche Güterart wird durch folgende Indifferenzkurve dargestellt?
MC Indifferenzkurve.png

substituierbare Komplemente.
Imperfekte Substitute.
Perfekte Komplemente.
Perfekte Substitute.